
DECIMAL NUMBERS IN STANDARD FORM
Decimal fractions can be expressed in standard form using negative powers of ten (10). This means that, the values of when a decimal number is expressed in standard forms are negative. To do this, we move the decimal point to Right Hand Side (RHS) in tenth.
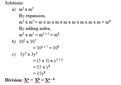
Examples:
1) Express each of these numbers in standard form.
(a). 0.0008 (b). 0.0000 000 7 (c). 0. 000 036
Solutions:






Read our disclaimer.
AD: Take Free online baptism course: Preachi.com 
Free Science simulations at Classadapt (UK) Classadapt.com